My name is Tobey and I’m currently a senior at Lehigh in the Integrated Business and Engineering Honors Program pursuing majors in Finance and Industrial & Systems Engineering. I have a passion for entrepreneurship and the aspiration to apply that to the sustainability space.
Comparing Firm 10-K Sentiment to Company Stock Returns
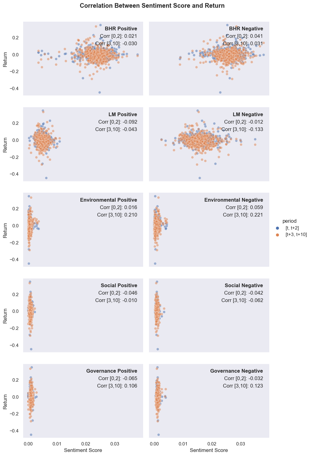
This project compares the positive and negative sentiments present in firm 10-Ks reported in the 2022 year with returns after the reports are filed. The sentiment measurements achieved are shown with returns seen over the 2 days following filing and then from day 3 through 10. A correlation measure is calculated and visualized in the form of a scatterplot.

CEO and Director Compensation Impact on Firm Value
This project analyzes data on CEO and director compensation along with how it impacts the firm values of the companies these executives represent. We utilize a training dataset to determine a predictor for director compensation, then compare predicted values with actuals for certain test years to determine if the individuals were overpaid or underpaid during that time. This is then compared to firm value in those years, represented by a regression-weight-based calculation of a firm value measure, to explore potential correlation.
Internship at Bain & Company: Private Equity Group
As an Associate Consultant Intern, I performed market sizing, historical analysis, and acquisition research for three private equity due diligences focusing on technology in various industries. Throughout my time at Bain, I completed analyses of company data and visualized findings in client deliverables. I will be returning to Bain full-time in October 2023 as an Associate Consultant.
After working for a time at Bain to gain an understanding of the business world, I plan on starting a venture in the environmental space. Entrepreneurship has always been a passion of mine and climate change/sustainability is the area I hope to focus my efforts.